<
頁
>
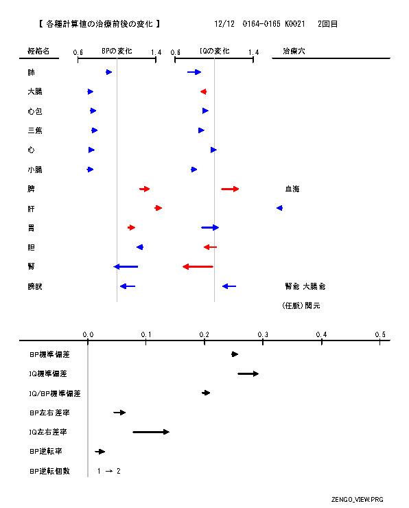
治療前後に経絡測定(5/12)
(1)
【NO】0164
【日付】9/3(2回目)
【患者ID】Kさん(40代男性)
【主訴】肩こり
【ペインスケール】10→2
【本人感想】肩がすっきり軽くなった
(2)
(3)
(4)
(5)
(6)
(7)
(8)
(治療前後の散布図 上下配置)
<
頁
>
2019.20.01.22
閉じる