<
頁
>
治療前後に経絡測定(6/12)
(1)
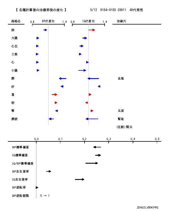
【NO】0154
【日付】9/6(1回目)
【患者ID】Eさん(40代男性)
【主訴】腰痛
【ペインスケール】10→3
【本人感想】腰回した時の痛みがなくなった。
(2)
(3)
(4)
(5)
(6)
(7)
(8)
(治療前後の散布図 上下配置)
<
頁
>
2019.01.22
閉じる