<
頁
>
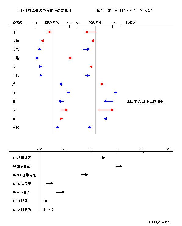
治療前後に経絡測定(11/12)
(1)
【NO】0166
【日付】10/23
【患者ID】Sさん(40代女性)
【主訴】肩こり・胃腸の不調
【ペインスケール】10→5
【本人感想】体が軽くなった気がする。
(2)
(3)
(4)
(5)
(6)
(7)
(8)
(治療前後の散布図 上下配置)
<
頁
>
2020.01.22
閉じる