<
頁
>
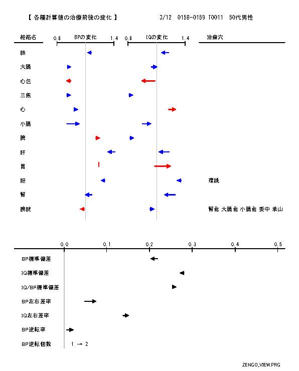
治療前後に経絡測定(9/12)
(1)
【NO】0158
【日付】9/15
【患者ID】Tさん(50代男性)
【主訴】膝痛・肩こり・ふくらはぎ張痛
【ペインスケール】10→3
【本人感想】足あげても痛みなくなった。腰曲げても痛みなくなった。
(2)
(3)
(4)
(5)
(6)
(7)
(8)
(治療前後の散布図 上下配置)
<
頁
>
2020.01.22
閉じる