頁 

治療前後に経絡測定(3/12)

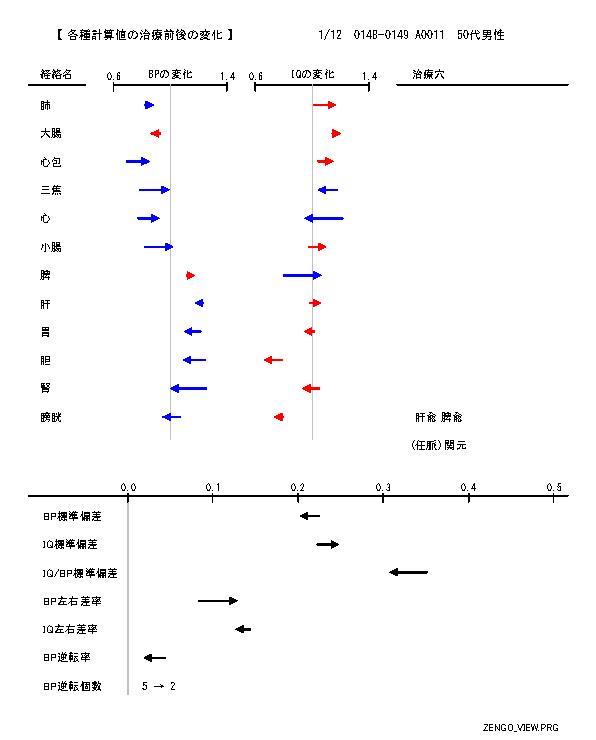
(1) 【NO】0148
【日付】8/29
【患者ID】Aさん(50代男性)
【主訴】腰痛肩こり、おしっこの回数多い(1時間に一回の時もあり)
【ペインスケール】10→5
【本人感想】肩が軽くなった。腰が反れるようになった。
(2)
(3)
(4)
(5)
(6)
(7)
(8)


 頁 


2019.01.22
閉じる