| (1) |
【NO】0146 【日付】8/29(1回目受診) 【患者ID】Oさん (60代男性) 【主訴】膝の痛み・正座ができない。 【ペインスケール】10→4(本人申告による痛み軽減度) 【本人感想】治療前より少し膝が曲がるようになった。
※下記図表の基本的な見方については こちら をご参照ください。
※表内この文字色の記述は当サイト開設者のコメントです。 |
|
| (2) |
≪BP・IQ左右平均グラフ≫を見ると、BP(橙)とIQ(緑)の比率(*1)が各経ごとにバラツキがあります。
この比率は健常者ではほぼ一定なるようです。(*1:BPとIQとは、元の測定値の単位が異なるで両者の棒グラフの長さ自体を比較しても参考になりません。) |
左欄で低かったIQ値が高くなって、橙色と緑色との比率のバラツキが改善されています。
IQ値は免疫機能の指標と見ることできるので、治療により活性したと考えられます。 よい見本でもありませんが、本人が不健康という自覚がなかった人で、経絡指圧体験したときの記録があります。 IQ値が安定しています。 → 一般人の例 |
| (3) | ![]() |
![]() |
| (4) | ![]() |
![]() |
| (5) | ![]() |
![]() |
| (6) |
![]() |
|
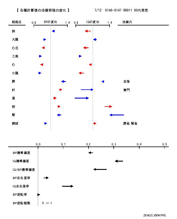
| (7) |
上方12経の矢印の方向と長さは、治療前→治療後の測定値の変化と大きさを示しています。BPとIQは、左右中央が1.0で12経の平均値です。
青色矢印は測定値が中央1.0に近づいた経、赤は離れた経です。 下方、BP・IQ・IQ/BP標準偏差は、測定値のバラツキ(中央の1.0から離れ具合)の指標です。 一般に病気発症直後は症状の発現とともにバラツキが大きく、その後症状の軽減とともにバラツキが小さくなります。 そんな意味で治療効果があったと推測します。IQの変化の意味は謎です。 |
|
| (8) | ||